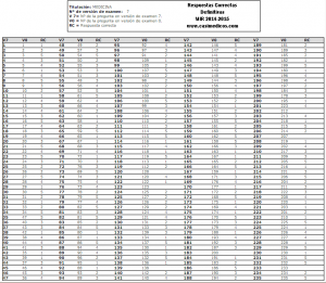
A continuación puedes ver las RESPUESTAS CORRECTAS definitivas APROBADAS POR LA COMISIÓN CALIFICADORA MIR 2014-2015. A destacar que se han anulado 6 preguntas, en concreto las preguntas 123,128,138,200,207 y 212 de la versión 0 del examen. Y una de las de reserva, la 233
¿Qué te ha parecido?¿Te resultó útil? Si así fuera, compártelo para que se difunda y nos apoyemos entre nosotros, los casiMedicos, ¡gracias!
Puedes dejarme tus comentarios abajo.













